Oapec - page 116

116
¿ƒ©HQC
’G …ƒæ°ùdG ΩÉ©dG ÚeC
’G ôjô≤J
������ �����
ádhOh ájOƒ©°ùdG á«Hô©dG áµ∏ªªdG ø«H áeƒ°ù≤ªdG á≤£æªdG »ah ,iôNC
G á¡L øeh
Mott MacDo
- ácô°ûd k
Gó≤Y ácôà°ûªdG »éØîdG äÉ«∏ªY ácô°T âëæe ,âjƒµdd
á«dɪdG ó≤©dG •hô°T øY ∞°ûµdG ºàj ºdh ,»éØîdG π≤M ôjƒ£àd á«fÉ£jôÑdG
ald
»a á«dhC
G »°Sóæg º«ª°üJ äÉeóN ºjó≤Jh ihóL äɰSGQóH ácô°ûdG ΩÉ«b øª°†àj …òdG
º«eɰüàdG ôjƒ£Jh ¢Vhô©dG ä’ƒL ∫ÓN á«æa äGQɰûà°SG ºjó≤J ≈dE
G áaɰVE
G ,π≤ëdG
SK Enginee
- ácô°T â∏°üM ɪc .
1
ôNC
’G á«YÉæ°üdG ™jQɰûª∏d á«FÉ¡ædG á«°Sóæ¡dd
i
π≤ëd á°ùHÉ«dG ≈∏Y ≥aGôªdG ¢†©H ôjƒ£Jh ójóéàd ó≤Y ≈∏Y
ing & Construction
¿ƒ«∏e
160
¬àª«b ≠∏ÑJ …òdG ó≤©dG øª°†àjh .áeƒ°ù≤ªdG á≤£æªdG »a ™bGƒdG IôaƒdG
¢†©H åjóëJ ≈dE
G áaɰVE
G π≤ëdG »a §Øæ∏d á«°ù«FôdG ™«ªéàdG á£ëe åjóëJ Q’hO
∫ɪYC
’G RÉéfE
G ºàj ¿C
G ™bƒàªdG øeh .
2
ójôÑàdGh ø«î°ùàdG äGó©eh Ö«HÉfC
’G •ƒ£N
.
2015
ôѪàѰS/∫ƒ∏jC
G ô¡°T »a áHƒ∏£ªdG
ÅfGƒe ™«ªL ¥ÓZE
G
2013
ΩÉY øe ådÉãdG ™HôdG »a äó¡°T ó≤a ,
ɫѫd ádhO
ÉeC
G
É¡°û«©J »àdG á«æeC
’Gh á«°SÉ«°ùdG ´É°VhC
’G ÖѰùH ájhGõdG AÉæ«e AÉæãà°SÉH §ØædG ôjó°üJ
∞dC
G
500
≠∏H OGóeE
’G »a k
É©LGôJ »£°SƒàªdG §ØædG ¥ƒ°S ó¡°T ∂dòd áé«àfh ,OÓÑdG
≈dE
G π°Uh ∫ó©ªH »Ñ«∏dG §ØædG ôjó°üJ ™LGôJ ɪc .ƒ∏ëdG ∞«ØîdG ΩÉîdG øe …/Ü
êÉàfE
’G ™LGôJ í°VƒJ Iô°TÉѪdG äÉfÉ«ÑdG ¿C
G ≈dE
G ∂HhC
G ᪶æe ôjQÉ≤J äQɰTC
Gh .
%70
ÉeC
G ,
2013
ƒ«dƒj /RƒªJ ô¡°Th »fÉãdG ™HôdG ájÉ¡f ø«H …/Ü ∞dC
G
173
QGó≤ªH »Ñ«∏dG
∞dC
G
280
≈dE
G π°Uh IôàØdG ¢ùØf ∫ÓN ™LGôàdG ¿C
G ôcòàa Iô°TÉѪdG ô«Z äÉfÉ«ÑdG
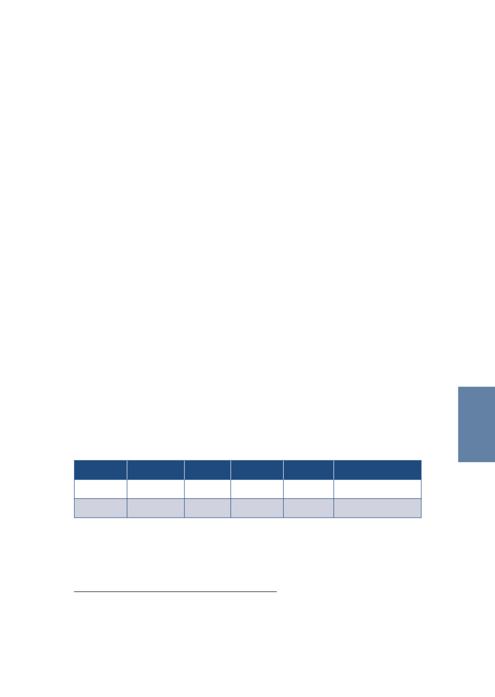
:»dÉàdG ∫hóédG »a í°Vƒe ƒg ɪc ,…/Ü
…/Ü êÉàfE
’G
2013
ΩÉY
∫hC
’G ™HôdG
»fÉãdG ™HôdG
ƒjÉe/QÉjC
G
ƒ«fƒj/¿GôjõM
ƒ«dƒj/RƒªJ
Iô°TÉÑe äÉfÉ«H
1489
1415
1441
1286
1242
Iô°TÉÑe ô«Z äÉfÉ«H
1399
1342
1402
1186
1062
∫ɪY ÜGô°VE
G ≈dE
G óFÉY êÉàfE
’G »a ™LGôà∏d ô°TÉѪdG ÖѰùdG ¿C
G ôco
P iôNC
G á¡L øe
≈dE
G ¢ù£°ùZC
G/ÜB
G ô¡°T »a êÉàfE
’ÉH §Ñg ɪe ,ºgQƒLC
G ™aôH ø«ÑdÉ£e ôjó°üàdG ÅfGƒe
. §≤a …/Ü ∞dC
G
400
1 Energy Business Review, 24/5/2013
2 Arab Oil and Gas, No.997, 1/4/2013
1...,117,118,119,120,121,122,123,124,125,126 106,107,108,109,110,111,112,113,114,115,...370
Powered by FlippingBook